

编者按
汇聚全球精英,引领血液新潮。第 30 届欧洲血液学会年会(EHA 2025)于 6 月 12 日至 15 日在意大利·米兰盛大召开。作为全球血液学领域的顶尖学术盛会之一,本届大会全面聚焦血液学及其各亚专科的最新进展,深入探讨循证诊疗新方法,发布临床与转化研究的重磅成果,呈现创新技术、精准诊断工具与风险评估策略的最新突破。在本届大会上,陆道培医院卢岳主任团队的研究成果入选壁报展示,探讨了不同剂量兔抗胸腺细胞球蛋白(ATG-T)和抗 T 淋巴细胞球蛋白(ATLG)在急性淋巴细胞白血病患者以 TBI/MAC 为预处理方案的单倍体造血干细胞移植中的比较,为优化 GVHD 预防策略、提升移植疗效提供了重要临床依据。《肿瘤瞭望-血液时讯》特邀卢岳教授分享该研究成果。

标题:COMPARISON OF DIFFERENT DOSES OF RABBIT ANTI-THYMOCYTE GLOBULIN (ATG-T) AND ANTI-T-LYMPHOCYTE GLOBULIN (ATLG) IN TBI-BASED MYELOABLATIVE CONDITIONING FOR HAPLOIDENTICAL TRANSPLANTATION IN ACUTE LYMPHOBLASTIC LEUKEMIA PATIENTS
中文标题:不同剂量兔抗胸腺细胞球蛋白(ATG-T)和抗 T 淋巴细胞球蛋白(ATLG)在急性淋巴细胞白血病患者以 TBI/MAC 预处理方案的单倍体造血干细胞移植中的比较
作者:卢岳,熊敏,赵艳丽,刘德琰,张建平,曹星玉,魏志杰,孙瑞娟,周葭蕤
单位:河北燕达陆道培医院
兔抗胸腺细胞球蛋白(ATG-T,赛诺菲,巴黎,法国)和抗 T 淋巴细胞球蛋白(ATLG,Grafalon,Neovii Biotech GmbH,Grafelfing,德国)被广泛用于单倍体造血干细胞移植(HID-HSCT)的移植物抗宿主病(GVHD)预防。然而,关于其有效性和安全性的比较数据,特别是在基于全身照射(TBI)的清髓预处理方案(MAC)中仍然很少。本回顾性研究旨在评估不同剂量 ATG-T 与 ATLG 在急性淋巴细胞白血病(ALL)患者中,基于 TBI/MAC 的 HID-HSCT 感染发生率及生存结局对比。
对 2018 年 1 月至 2022 年 12 月期间在河北燕达陆道培医院和北京陆道培医院接受首次 HID-HSCT,943 例完全缓解(CR)ALL 患者进行了回顾性分析。所有患者均接受 ATG-T 或 ATLG 作为基于 TBI 的 GVHD 预防 MAC 方案的一部分。根据 ATG 给药情况将患者分为三组:ATLG(20 mg/kg,分 4 天;n = 340),ATG-T(5-6.75 mg/kg,分 4 天;n = 263)和 ATG-T(7-8.5 mg/kg,分 4 天;n = 340)。随访日期截止到 2024 年 12 月 30 日。
1 患者的基本特征
ALL 共 943 例,其中 T-ALL 189 例,B-ALL 754 例(见图 1)。中位年龄为 13 岁(范围:1-63 岁)。尽管 728 名患者(77.2%)有难治性/复发病史,但在 HSCT 之前,所有患者都处于形态学完全缓解(CR)状态 (其中 47.7% 移植前接受过 CAR-T 治疗;11.9% 为 MRD 阳性)。在 ATLG、ATG-T(5-6.75 mg/kg)、ATG-T(7-8.5 mg/kg)三个不同分组中,粒细胞植活时间无差异,且中位时间为 14 天 (范围:9-46 天 vs. 9-34 天 vs. 8-30 天;P = 0.246),100 天血小板植入累积发生率相似 [93.8% (95%CI:90.7-96.1) vs. 96.5%(95%CI:93.6-98.4) vs. 95.2%(95%CI:92.4-97.2);P = 0.292]。

2 GVHD 发生率比较
ATLG 组 II-IV 级 aGVHD 的 100 天累积发生率低于 ATG-T(5-6.75 mg/kg)组(18.2% vs .26.2%,P = 0.113),但与 ATG-T(7-8.5 mg/kg)组相似(18.2% vs .20.2%,P = 0.496)。与 ATG-T(5-6.75 mg/kg)组相比,ATLG 组的 100 天累积 III-IV 级 aGVHD 发生率显著降低(12.6% vs. 18.2%,P = 0.056),但与 ATG-T(7-8.5 mg/kg)组相似(12.6% vs. 10.8%,P = 0.475)。值得注意的是,ATG-T(5-6.75 mg/kg)组的 III-IV 级 aGVHD 发生率高于 ATG-T(7-8.5 mg/kg)组(18.2% vs. 10.8%,P = 0.009)。与 ATG-T(7-8.5 mg/kg)组相比,ATLG 组 cGVHD 的 5 年累积发生率也较低(24.4% vs. 33.8%,P = 0.005),而中至重度 cGVHD 发生率相似 [8.8% vs. 12.6%(95% CI:9.3-16.6);P = 0.131)]。见图 2。

3 各种病毒再激活和并发症的比较
ATLG 组 180 天 CMV 病毒血症(52.9% vs. 65.4% vs. 68.5%,P<0.0001)、180 天 EBV 病毒血症(12.0% vs. 23.9% vs. 25.8%,P<0.0001)、360 天移植后淋巴细胞增生性疾病(PTLD)(0.59% vs. 4.56% vs. 6.47%,P = 0.003)和 360 天 HHV-6 再激活(0.59% vs. 4.5% vs. 6.4%,P<0.0001)的发生率明显低于 ATG-T(5-6.75 mg/kg)和 ATG-T(7-8.5 mg/kg)组,但是在不同剂量 ATG-T(5-6.75 mg/kg)和 ATG-T(7-8.5 mg/kg)组间并无统计学差异。在 360 天的出血性膀胱炎、细小病毒再激活、腺病毒再激活或移植相关血栓性微血管病(TA-TMA)发生率方面,三组间无显著统计学差异。见表 1。
表 1. 各种病毒再激活和并发症的比较

4 生存结局比较
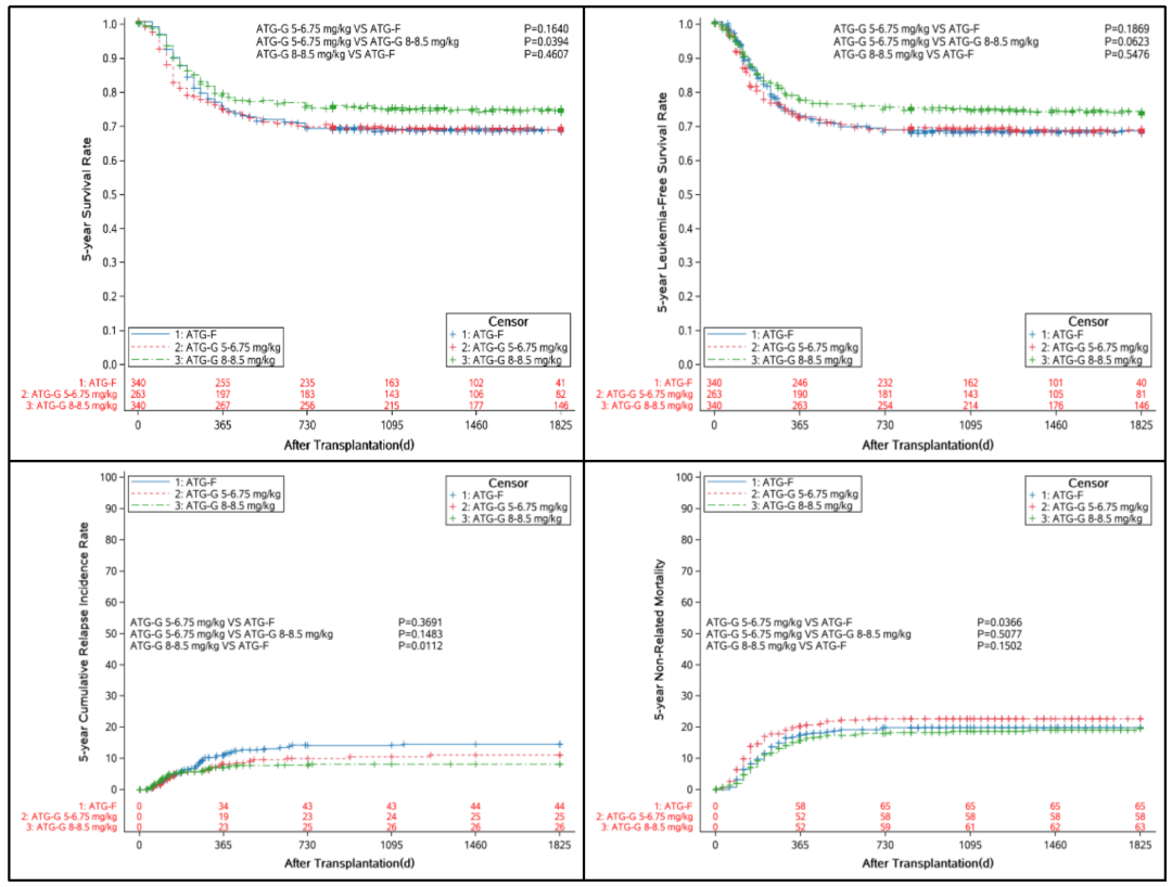
随访时间截至 2024 年 12 月 30 日,中位随访时间为 52 个月(范围:27-83 个月)。ATLG 组 5 年总生存率(OS)与 ATG-T 组(5-6.75 mg/kg)[HR 1.238 (95%CI:0.917-1.671),P = 0.164]、ATG-T 组(7-8.5 mg/kg)[HR 0.895 (95%CI:0.667-1.210),P = 0.460]、5 年无白血病生存率(LFS)与 ATG-T 组(5-6.75 mg/kg)[HR 1.222 (95%CI:0.907-1.645),P = 0.186]、ATG-T 组(7-8.5 mg/kg)[HR 0.914(95%CI:0.683-1.224),P = 0.547] 比较无显著差异。ATLG 组 5 年累积复发率(CIR)与 ATG-T 组(5-6.75 mg/kg)相似 [HR 0.791(95%CI:0.473-1.320),P = 0.369],但显著高于 ATG-T 组(7-8.5 mg/kg)[HR 0.581(95%CI:0.311-0.861),P = 0.011]。ATG-T(5-6.75 mg/kg)组 5 年非复发死亡率(NRM)显著高于 ATLG 组 [HR 1.482(95%CI:1.025-2.143),P = 0.036]。ATG-T(7-8.5 mg/kg)组 5 年 LFS、CIR、NRM 与 ATG-T(5-6.75 mg/kg)组相当,但 5 年 OS 高于 ATG-T(95%CI:1.015-2.053) [HR 1.372 (95%CI:1.015-2.053),P = 0.0394]。见图 3。

Cox 逐步回归模型多因素分析生存结局:ATG-G 5-6.75 mg/kg 对比 ATG-F 具有更高的 NRM[HR 1.500,95%CI(1.016-2.215),P = 0.041],ATG-G(7-8.5 mg/kg)对比 ATG-F 具有更低的 CIR[HR 0.475,95%CI(0.278-0.813),P = 00067](见表 2)。
影响 OS 的因素:移植前有髓外病变具有更低的 OS[HR 1.503,95%CI(1.125-2.008),P = 0.0058],100 天之内血小板没有植活有更低的 OS[HR4.736,95%CI(3.088-7.264),P<0.001]。
影响 LFS 的因素:移植前 MRD 阳性具有更低的 LFS[HR 1.461,95%CI(1.012 -2.109),P = 0.0032];移植前有髓外病变具有更低的 LFS[HR 1.501,95%CI(1.128-1.997),P = 0.0054];100 天之内血小板没有植活有更低的 LFS[HR 4.045,95%CI(2.646-6.184),P<0.001]。
影响 GRFS 的因素:移植前 HCT-CI 为 1 对比 0 分有更低的 GRFS[HR 1.399,95%CI(1.063-1.759),P = 0.0147];移植前 CR3 对比 CR2 状态具有更低的 GRFS[HR 1.673,95%CI(1.085-2.581),P = 0.0198];移植前有髓外病变具有更低的 LFS[HR 1.355,95%CI(1.056-1.741),P = 0.0171];100 天之内血小板没有植活有更低的 GRFS[HR 3.217,95%CI(2.156-4.799),P<0.001];供受者关系女-男对比男-男具有更低的 GRFS [HR 1.332,95%CI(1.003-1.767),P = 0.0473]。
增加 CIR 的危险因素:移植前 CR2 对比 CR1 状态具有更高的 CIR[HR 2.031,95%CI(1.101-3.680),P = 0.0231];移植前 MRD 阳性比阴性具有更高的 CIR[HR 3.897,95%CI(2.212-6.802),P<0.001];供受者关系女-男对比男-男具有更高的 CIR[HR 0.382,95%CI(0.178-0.819),P = 0.0134]。
增加 NRM 的危险因素:供者年龄>40 周岁对比 ≤ 18 周岁具有更高的 NRM[HR 2.105,95%CI(1.004-4.414),P = 0.0488];移植前有髓外病变具有更高的 NRM[HR1.728,95%CI(1.291-2.450),P = 0.0021];供受者关系女-男对比男-男具有更高 NRM[HR 1.530,95%CI(1.029-2.275),P = 0.0358];100 天之内血小板没有植活有更高的 NRM[HR 7.140,95%CI(4.480-11.381),P<0.001]。
表 2. Cox 逐步回归模型多因素分析生存结局

我们的研究表明,在为预防 GVHD 而接受单倍体移植的 ALL 患者进行基于 TBI 的 MAC 治疗的背景下,与 ATLG 组相比,ATG-T(7-8.5 mg/kg)队列的 100 天Ⅱ至Ⅳ级和Ⅲ-Ⅳ级 aGVHD 相似,但与 ATG-T(5-6.75 mg/kg)相比,Ⅲ-Ⅳ级 aGVHD 级别较低,尽管与 ATLG 组相比,它具有更高的 CMV 和 EBV 病毒血症,PTLD 发生率和 5 年 CI 的 cGVHD,但是三组之间的 OS 和 LFS 无统计学差异,这些发现为优化 ATG 剂量以预防 HID-HSCT 的 GVHD 提供了有价值的指导,支持为 ALL 患者提供更个性化的 GVHD 预防策略。
专家简介

卢岳 教授
河北燕达陆道培医院
造血干细胞移植科主任(副院长级)
北京血液学分会理事,中华医学会血液学分会造血干细胞移植应用组成员,海峡两岸医药卫生交流协会血液病学专业委员会委员。
2016 年 10 月赴美国西雅图 Fred Hutchinson 骨髓移植中心进修临床。
截止至 2024 年底,已经累计完成异基因造血干细胞移植例数 1800 余例。
在《Frontiers in immunology》《British journal of haematology》《Bone marrow transplantation》《Bilology of Blood Marrow Transplantation》等杂志上发表 SCI 10 余篇。
(来源:《肿瘤瞭望–血液时讯》编辑部)
好文章,需要你的鼓励