

编者按:全球血液学领域最高水平学术会议——第 30 届欧洲血液学协会大会(EHA 2025)将于 2025 年 6 月 12-15 日在意大利米兰隆重召开。作为全球血液学领域最具影响力的会议之一,EHA 2025 将汇聚顶尖专家、学者及行业领袖,共同探讨血液疾病诊疗与科研的最新突破。
值得关注的是,陆道培医院孙瑞娟主任、何海医生团队一篇题为「OUTCOMES OF ALLOGENEIC HEMATOPOIETIC STEM CELL TRANSPLANTATION FOR PATIENTS WITH NUP98-REARRANGED ACUTE MYELOID LEUKAEMIA:A SINGLE-CENTER LARGE-SAMPLE COHORT STUDY」的研究成功入选,以壁报形式进行交流展示。以下为该研究的具体内容。

世界卫生组织 2022 年将急性髓系白血病伴 NUP98 重排(NUP98-r AML) 列为一个白血病独立亚型。此亚型急性髓系白血病于成人及儿童组发病率均低,化疗疗效差。因此,异基因造血干细胞移植(allo-HSCT)在改善 NUP98-r AML 预后方面的潜力非常值得关注,但目前对此领域的研究还相对较少。
本研究纳入 2017 年 3 月至 2024 年 9 月于我院接受 allo-HSCT 治疗的 NUP98-r AML 患者。观察终点包括总生存期(OS)、无病生存期(DFS)、累积复发率(CIR)、非复发死亡率(NRM)以及急性与慢性移植物抗宿主病(GVHD)的累积发生率。所有结果均从干细胞输注时间开始计算。
共有 101 例 NUP98-r AML 患者入组,其中男性 61 例、女性 40 例,儿童占 49 例。最常见的伙伴融合基因是 NUP98-NSD1,共检出 70 例;其次是 NUP98-HOXA9 17 例;NUP98-KDM5A 7 例;其他 NUP98r 7 例。诊断时,34(33.7%)例患者外周血白细胞计数超过 100×10⁹/L,64(63.4%)例患者携带 FLT3-ITD,39(38.6%)例患者携带 WT1。82(81.2%)例患者接受了单倍体异基因造血干细胞移植。
关于 HSCT 前的 CR 状态分组,CR1 组 61(60.4%)例患者,CR2 组 9(8.9%)例,NR 组 31(30.7%)例。84(83.2%)例患者分子学阳性。71(70.3%)例接受了基于(BU/Cy)的预处理方案,30(29.7%)例接受了基于(BU/Flu)的预处理方案。所有患者移植后均实现造血重建,移植后 30 天的白血病完全缓解率为 100%,64(79.8%)例患者达到了完全分子学缓解。
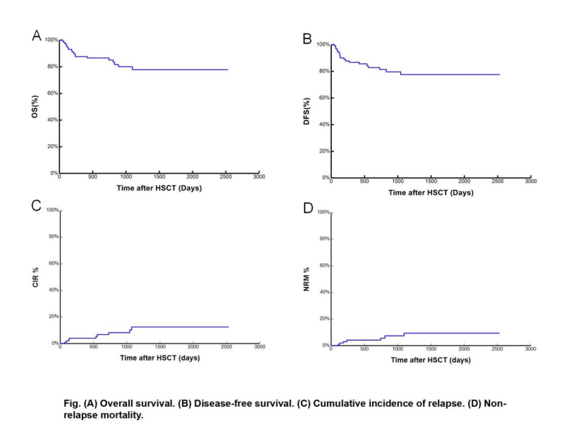
整个队列的中位随访时间为 29(1-83)个月,3 年 OS 和 DFS 分别为 79.9%(95% CI,69.2-87.2)和 79.6%(95% CI,69.3-86.8)。3 年 CIR 和 NRM 分别为 12.31% (95% CI,6.4%-23.1%)和 7.31% (95% CI,3.3%-16.1%)。

对于 III-IV 级 aGVHD,100 天累积发生率分别为 27.7%(95% CI,20.2-37.9)和 14.8% (95% CI,9.3%-23.6%)。cGVHD 的 3 年累积发生率为 39.5%(95% CI,29.8-52.2),广泛性 cGVHD 的累积发生率为 7.4%(95% CI,3.3-16.2)。
多变量分析显示:移植后 30 天内获得完全分子学缓解(MRD-)的患者,其 OS 和 DFS 显著提高(HR 3.87[95% CI,1.26-11.87],p = 0.017;HR 4.83[95% CI,1.65-14.18],p = 0.004)。II-IV 级移植物抗宿主病(aGVHD)是影响 OS 的一个不利因素(HR 3.76[95% CI,1.24-11.45],p = 0.019)。移植前 NR 状态是 CIR 的不利风险因素(HR 6.68[95% CI,1.36-32.78],p = 0.019)。
在我们的长期随访研究中,移植前的 CR 状态和移植后 30 天的分子 MRD-、II-IV 级 aGVHD 被确定为 NUP98-r AML 的预测生存和复发的风险因素。
NUP98 基因重排在儿童 AML 患者中的发生率约为 7%,成人中约为 2%。随后的基础研究发现 NUP98 的伙伴基因主要分为两类:同源盒基因家族(HOX)和非同源盒家族(非 HOX)。HOX 包括 HOX I 类:A 簇/B 簇/C 簇/D 簇和非 I 类 HOX 伙伴基因:PRRX1,2 等。非 HOX 包括 NSD1、NSD3、TOP1、TOP2B、DDX10、ADD3、RARA 等。

NUP98-r AML 最常见的 HOX 融合伴侣是 HOXA9。NUP98-HOXA9 融合的患者 FAB 分型以 M2 型为主,多伴随 KRAS 和 WT1 基因突变。中位生存时间为 13.5 个月,无复发生存时间为 6 个月,对强化疗表现出耐药,化疗缓解后复发率高。NUP98 非 HOX 基因融合伙伴中,NUP98-NSD1 在儿童和年轻成人中均多见,M5 型为主。有研究报道成人和儿童 NUP98-NSD1 重排 AML 患者 4 年无事件生存率均小于 10%,是独立的不良预后因素。NUP98-NSD1 AML 患者中携带 FLT3-ITD 突变高达 70%,此类患者预后差,化疗完全缓解率仅为 27%,可尝试联合 FLT3 抑制剂治疗。
对于化疗效果不佳的 NUP98-r AML,临床上常采用 allo-HSCT 治疗。这可能与移植后的移植物抗白血病效应(GVL)可持续地抑制白血病细胞的生长和复发有关。最近发表的回顾性研究显示,接受 HSCT 治疗的患者 3 年 OS 可达 40-60%。结合本中心的研究数据,笔者建议 NUP98-r AML 患者进行 allo-HSCT 治疗提高长期无病生存率,CR 状态下移植预后更好。
参考文献
舒文婧, 沈杨. 成人 NUP98 重排相关急性髓系白血病的治疗进展 [J]. 临床血液学杂志,2024,37(3):150-155. DOI:10.13201/ji.ssn.1004-2806.2024.03.002.
Bertrums EJM, Smith JL, Harmon L, et al. Comprehensive molecular and clinical characterization of NUP98 fusions in pediatric acute myeloid leukemia[J].Haematologica. 2023;108(8):2044-2058. Published 2023 Aug 1. doi:10.3324/haematol.2022.281653
Struski S, Lagarde S, Bories P, et al. NUP98 is rearranged in 3.8% of pediatric AML forming a clinical and molecular homogenous group with a poor prognosis[J]. Leukemia. 2017;31(3):565-572. doi:10.1038/leu.2016.267
Michmerhuizen NL, Klco JM, Mullighan CG. Mechanistic insights and potential therapeutic approaches for NUP98-rearranged hematologic malignancies[J]. Blood. 2020;136(20):2275-2289. doi:10.1182/blood.2020007093
Hollink IH, van den Heuvel-Eibrink MM, Arentsen-Peters ST, et al. NUP98/NSD1 characterizes a novel poor prognostic group in acute myeloid leukemia with a distinct HOX gene expression pattern[J]. Blood. 2011;118(13):3645-3656. doi:10.1182/blood-2011-04-346643
Chou WC, Chen CY, Hou HA, et al. Acute myeloid leukemia bearing t(7;11)(p15;p15) is a distinct cytogenetic entity with poor outcome and a distinct mutation profile: comparative analysis of 493 adult patients. Leukemia[J]. 2009;23(7):1303-1310. doi:10.1038/leu.2009.25
Shen Y, Zhang T, Zhang L, et al. Allogeneic stem cell transplantation can prolong the survival of patients with NUP98-rearranged acute myeloid leukemia. Bone Marrow Transplant[J]. 2023;58(10):1149-1151. doi:10.1038/s41409-023-02030-3
Harada K, Doki N, Aoki J, et al. Outcomes after allogeneic hematopoietic stem cell transplantation in patients with acute myeloid leukemia harboring t(7;11)(p15;p15). Haematologica[J]. 2018;103(2):e69-e72. doi:10.3324/haematol.2017.179804

孙瑞娟
陆道培医院造血干细胞移植科 主任
中国医师协会血液科医师分会组织细胞疾病专业委员会委员,中国妇幼保健协会脐带血应用委员会委员,河北省廊坊市抗癌协会委员。
从事造血干细胞移植临床工作 20 年余。成功完成异基因造血干细胞移植千余例。患者年龄跨度 7 个月至 69 岁。
对各类良恶性血液肿瘤,急慢性 GVHD、重症感染、移植后各种合并症治疗,尤其对于应用免疫疗法防治移植后复发经验丰富。成功参与完成国内首例自体脐带血治疗儿童重型再生障碍性贫血。成功参与完成国内首例 XIAP 相关噬血细胞综合征的移植。成功完成多例先天性角化不良征的干细胞移植。
多次在 APBMT、EBMT、TCT、ASH 等国际骨髓移植会议上进行经验交流。

何海
陆道培医院
造血干细胞移植科 主治医师
2012 年开始在陆道培医疗集团工作
从事血液病化疗、造血干细胞移植临床治疗及研究
擅长各种血液病骨髓移植治疗和移植后并发症处理。
好文章,需要你的鼓励