

文章来源:雨露肝霖
目前国内外指南均将基于 HBsAg 清除的临床治愈(功能性治愈)作为慢乙肝理想的治疗终点。对于 HBsAg < 100 IU/mL 的慢乙肝患者,是「等待观察」还是「积极干预」以追求临床治愈已成为当下的热点议题。前期尤红教授团队一项针对我国乙肝人群 HBsAg 水平分布的研究指出,我国 HBsAg < 100 IU/mL 的初治和经治患者比例分别为 10.51% 和 12.88%1。其中关于 HBsAg < 100 IU/mL 经治患者的最佳临床管理策略,首都医科大学附属北京佑安医院的陈新月教授已在近期的学术会议上展开了深入探讨。
以往也有文献指出未经治疗慢乙肝患者的自发性 HBsAg 清除率较低。近期,复旦大学附属华山医院张文宏教授团队联合中山大学附属第五医院团队发表的一项系统评价与汇总分析 2 再次探讨了慢乙肝患者的自发性 HBsAg 清除率,该研究证实在排除高异质性研究后,总人群自发性 HBsAg 清除的汇总年发生率为 1.22%(95% CI 1.06 - 1.39%),不同基线 HBsAg 水平患者的自发性 HBsAg 清除汇总年发生率存在显著差异,但均较低,即使是基线 HBsAg < 100 IU/mL 患者的自发性 HBsAg 清除汇总年发生率也仅为 4.58%(95% CI 2.73 - 5.10%),这一数据提示,即使是临床治愈优势人群,自发获得临床治愈的概率也极低。

一项系统综述和荟萃分析,全面检索了 PubMed、Embase、Medline、Scopus、Cochrane Library 和 Web of Science 这六个数据库从建库至 2025 年 5 月 12 日的文献,纳入标准为观察性队列研究或随机对照试验;研究对象为 ≥ 18 岁未经抗病毒治疗的慢性乙肝患者;研究报告了基线 HBsAg 分层数据;至少提供 1 年随访,并给出对应的 HBsAg 清除相关数据。研究排除了样本量小于 20 例、合并其他病毒感染比例 ≥ 10%、数据不完整或在 HBsAg 清除前已发生终末期肝病的文献,也排除了非英文和综述、编者按、评论、病例报告或动物实验研究。主要研究终点是自发性 HBsAg 清除的汇总年发生率(伴或不伴 HBsAb)。
纳入的研究特征
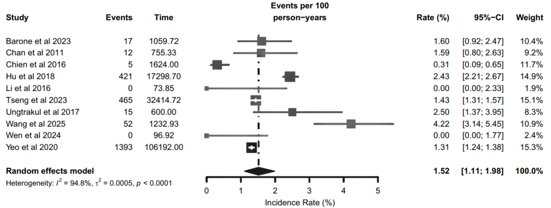
最终纳入 10 项研究,涉及 17,439 例未治疗的慢乙肝患者,随访了 16,134.82 人•年。由于多数研究为观察性研究且缺乏对照组,因此研究的总体质量为中等甚至低等,仅有两项为高质量研究。
01、汇总分析表明,慢乙肝患者的自发性 HBsAg 清除汇总年发生率为 1.22%
共有 13.6%(2380 例)患者发生自发性 HBsAg 清除,自发性 HBsAg 清除的汇总年发生率为 1.52%(95% CI 1.11 - 1.98%;I2 = 94.8%),异质性较高。漏斗图对称性和 Egger 检验(p = 0.55)表明无显著发表偏倚。

总研究(n = 10)的自发性 HBsAg 清除汇总年发生率
排除异质性较高的 3 项研究后,自发性 HBsAg 清除的汇总年发生率降至 1.22%(95% CI 1.06 - 1.39%;I2 = 47.2%,图 3)。

排除高异质性研究后(n = 7)的自发性 HBsAg 清除汇总年发生率
02、不同基线 HBsAg 水平患者的自发性 HBsAg 清除汇总年发生率均较低,基线 HBsAg < 100 IU/mL 组仅 4.58%
根据基线 HBsAg 水平进行分组,不同亚组患者的自发性 HBsAg 清除汇总年发生率存在显著差异,且均较低:
基线 HBsAg < 100 IU/mL 组:3.83%(95% CI 2.73 - 5.10%;I2 = 90.6%);
基线 HBsAg 为 100 - 1000 IU/mL 组:1.34%(95% CI 1.14 - 1.56%;I2 = 28.3%);
基线 HBsAg > 1000 IU/mL 组:0.51%(95% CI 0.32 - 0.73%;I2 = 83.7%)。

总研究中不同基线 HBsAg 水平亚组的自发性 HBsAg 清除汇总年发生率
排除高异质性研究后,不同基线 HBsAg 水平患者的自发性 HBsAg 清除汇总年发生率仍存在显著差异:
基线 HBsAg < 100 IU/mL 组:4.58%(95% CI 3.72 - 5.52%;I2 = 25.4%),
基线 HBsAg 为 100 - 1000 IU/mL 组:1.34%(95% CI 1.14 - 1.56%;I2 = 40.9%);
基线 HBsAg > 1000 IU/mL 组:0.42%(95% CI 0.26 - 0.61%;I2 = 33.7%)。

排除高异质性研究后,不同基线 HBsAg 水平亚组的自发性 HBsAg 清除汇总年发生率
肝霖君有话说
本汇总分析排除异质性较高的研究后发现,未经抗病毒治疗的慢乙肝患者的自发性 HBsAg 清除汇总年发生率为 1.22%;基线 HBsAg 水平越低,获得自发性 HBsAg 清除的概率可能更高,但即使是基线 HBsAg < 100 IU/mL 患者的自发性 HBsAg 清除汇总年发生率也仅为 4.58%,提示尽管 HBsAg 水平较低,每年仍有超过 95% 的患者无法实现自发性 HBsAg 清除。近年来已有大量证据表明,这类 HBsAg 低水平的患者基于聚乙二醇干扰素α(PEG IFNα)治疗可在短期内(24 周甚至是 12 周)获得较高的 HBsAg 清除率。
与此同时,乙肝新药的研发正在积极开展中,但现有荟萃分析表明,单用乙肝新药总体疗效仍然有限,存在停药后反弹明显的现象,而相当一部分研究显示这些新药联合 PEG IFNα治疗可显著提高 HBsAg 清除率及其持久性。这提示我们,在当前阶段,对于符合条件的患者,尤其是追求临床治愈的患者,与其等待尚不成熟的新药或寄希望于低概率的自发性 HBsAg 清除,更应积极评估并及时启动基于 PEG IFNα的抗病毒治疗,以期更早获得临床治愈。
参考文献:
陈姝延, 单姗, 孔媛媛, 等. 基于 CR-HepB 的中国慢性乙型肝炎患者血清 HBsAg 水平分布特征 [J]. 中华肝脏病杂志, 2025, 33(1): 34-40.
Sui S, Li H, You R, et al. The incidence of spontaneous HBsAg loss in patients with different baseline HBsAg levels: a systematic review and meta-analysis[J]. Hepatol Int. 2026.
好文章,需要你的鼓励