来源:雨露肝霖
随着聚乙二醇干扰素α-2b(PegIFNα)获批「HBsAg 持续清除」适应症,PegIFNα已成为当前慢乙肝治疗获得临床治愈的重要策略。为进一步提升其疗效,开发能够早期预测治疗应答的模型,优化个体化治疗,是当前研究的关键方向,尤其是基于多维度临床特征的动态预测模型正逐步成为探索热点。
南方医科大学南方医院侯金林教授与樊蓉教授团队发表相关研究,结果显示基于纵向 qHBsAg 动态变化的 GOLDEN 模型,能够有效预测接受 PegIFNα治疗的慢乙肝患者实现 HBsAg 清除或 qHBsAg < 100 IU/mL 的可能性,尤其在模型所定义的「优势组」中疗效显著提升,为早期预测 PegIFNα疗效提供了重要工具。

参与研究的患者来自一项随机对照试验(EXCEL 研究)和一项前瞻性真实世界观察性队列研究(Search-B 队列)。
EXCEL 研究:纳入 200 例 HBeAg 阳性、非肝硬化、初治的成人慢乙肝患者(HBV DNA > 105 copies/mL),接受 PegIFNα治疗 12 或 24 个月,治疗结束后随访 6 个月。
Search-B 队列:纳入 1041 例成人慢乙肝患者,在入组前或入组后接受 IFNα或 PegIFNα治疗 ≥ 6 个月的非肝硬化慢乙肝患者。
GOLDEN 模型应用:基于患者纵向 qHBsAg 数据,采用纵向判别分析(LoDA)建模算法,计算其 HBsAg 清除或 qHBsAg < 100 IU/mL 的概率。若患者在随访期间任何时间点实现 HBsAg 清除的概率超过 0.95 的阈值,将其归类为优势组,否则为非优势组。
患者基线
EXCEL 研究:入组时中位 HBsAg 为 4.0(IQR, 3.5 - 4.6)log10 IU/mL。中位随访 18.0(IQR, 18.0 - 30.0)个月后,分别有 4 例和 27 例患者在随访结束时(EOF)实现 HBsAg 清除和 qHBsAg < 100 IU/mL。qHBsAg < 100 IU/mL 的累积发生率为 20.0%。
Search-B 队列:97.6% 为经治患者,40.7% 为 HBeAg 阳性,入组时中位 qHBsAg 为 2.8(IQR, 2.3 - 3.3)log10 IU/mL。中位随访 66.7(IQR, 48.8 - 84.7)个月后,73 例患者实现 HBsAg 清除,5 年累积 HBsAg 清除率为 6.7%。
患者基线

01
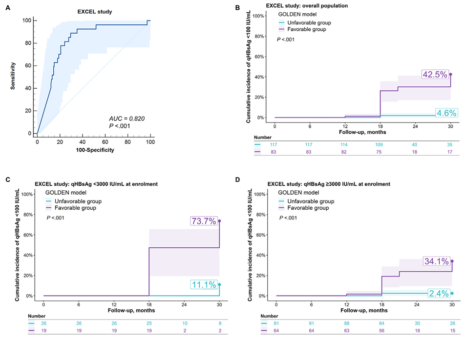
GOLDEN 模型可预测 EXCEL 队列发生 EOF qHBsAg < 100 IU/mL 的概率
由于 EXCEL 研究中只有少数患者实现 HBsAg 清除,以随访结束(EOF)时 qHBsAg < 100 IU/mL 作为替代终点。GOLDEN 模型预测 EOF qHBsAg < 100 IU/mL 的 ROC 曲线下面积(AUC)为 0.820,灵敏度为 88.9%,特异性为 65.9%。GOLDEN 模型可识别 41.5%(83/200)的优势患者,优势组中 EOF qHBsAg < 100 IU/mL 的累积发生率为 42.5%,显著高于非优势组(4.6%)。
GOLDEN 模型在不同亚组中均保持高水平的预测性能。按照入组时 qHBsAg < 3000 IU/mL 和 ≥ 3000 IU/mL 分层分析,优势组中 EOF qHBsAg < 100 IU/mL 的累积发生率分别为 73.7% 和 34.1%。非优势组对应的累积发生率分别为 11.1% 和 2.4%。

Excel 研究中 GOLDEN 模型预测性能评估(A)预测 EOF qHBsAg < 100 IU/mL 的 ROC 曲线;(B)总体、(C)入组时 qHBsAg < 3000 IU/mL 和(D)≥ 3000 IU/mL 的亚组中 EOF qHBsAg < 100 IU/mL 的累积发生率
02
GOLDEN 模型可预测 Search-B 队列实现 EOF HBsAg 清除的概率
在 Search-B 队列中,GOLDEN 模型预测 HBsAg 清除的 AUC 为 0.964,灵敏度为 100%,特异性为 87.8%。GOLDEN 模型可识别出 18.3%(191/1041)的优势组患者,优势组的 5 年累积 HBsAg 清除率为 37.2%,而非优势组中无一例达到 HBsAg 清除。GOLDEN 模型在各亚组中均表现优异,在入组时 qHBsAg < 3000 IU/mL 和 ≥ 3000 IU/mL 的患者亚组中,优势组的 5 年累积 HBsAg 清除率分别为 43.2% 和 14.4%,而非优势组均为 0%。

Search-B 队列中 GOLDEN 模型预测性能评估(A)预测 EOF HBsAg 清除的 ROC 曲线;(B)总体、(C)入组时 qHBsAg < 3000 IU/mL 和(D)≥ 3000 IU/mL 的亚组中 EOF 累积 HBsAg 清除率
03
优势组与 qHBsAg 水平是 HBsAg 清除或< 100 IU/mL 的独立预测因素
多因素分析显示,除 GOLDEN 模型识别的优势组(EXCEL: HR = 13.392, p < 0.001)外,入组时 qHBsAg 水平(EXCEL: HR = 0.643, p = 0.016; Search-B: HR = 0.321, p < 0.001)也是两个队列中 qHBsAg 清除或 qHBsAg < 100 IU/mL 的独立预测因素。
单因素与多因素 Cox 回归分析用于预测 EXCEL 研究及 Search-B 队列中 qHBsAg 结局

已有预测模型通过整合基线及治疗过程中的 HBsAg 动态变化,为预测 PegIFNα治疗获 HBsAg 清除提供了重要依据。本研究验证了 GOLDEN 模型在识别 PegIFNα治疗优势人群方面的有效性,有助于提高 HBsAg 清除率。数据显示,在 Search-B 研究中,GOLDEN 模型所界定优势组的 5 年累积 HBsAg 清除率达到 37.2%。此外,该模型对未实现 HBsAg 清除的患者仍具预测价值,在 EXCEL 研究中,优势组患者 EOF qHBsAg < 100 IU/mL 的累积发生率为 42.5%,提示该部分患者具有更高的临床治愈潜力。已有多项研究表明 HBsAg < 100 IU/mL 的患者基于 PegIFNα治疗的 HBsAg 清除率可达 50% 以上,为进一步治疗策略的制定提供了方向。
参考文献:
Liao X, Xie Q, Dou X, et al. Chronic Hepatitis B Study Consortium. External Validation of the GOLDEN Model for Predicting HBsAg Loss in Noncirrhotic Chronic Hepatitis B Patients With Interferon-Alpha-Based Therapy[J]. Clin Gastroenterol Hepatol. 2025, S1542-3565(25)00524-5.
好文章,需要你的鼓励