


2025 年 3 月 30 日至 4 月 2 日,第 51 届欧洲血液与骨髓移植学会年会(EBMT 2025)在意大利佛罗伦萨隆重召开。作为血液学领域极具影响力的国际盛会,本届大会吸引了全球五千余名专家学者参与,共同探讨造血干细胞移植与细胞治疗的前沿进展。在本届大会上,陆道培医院魏志杰主任的一项针对不同 AML 亚型患者移植后使用预处理方案的研究(摘要号:P119)入选大会摘要。该研究探索了巴利昔单抗在单倍体造血干细胞移植(haplo-HCT)后第+1 天和+4 天分次给药对急性髓系白血病(AML)患者急性移植物抗宿主病(aGVHD)预防的效果,系统分析了该方案在不同 AML 亚型(M1-M7)中的疗效差异,显著降低了 CR-AML 患者 aGVHD 的发生率,为个体化 GVHD 预防提供新依据。为了深入了解该研究,特邀魏志杰教授对该研究进行了深入介绍,现整理如下。
摘要号:P119
英文标题:Prophylactic Basiliximab on Days +1 and +4 Post-Haplo-HSCT Reduces Incidence of Grade II-IV Acute Graft-Versus-Host Disease in Acute Myeloid Leukemia Patients in Complete Remission 中文标题:单倍体造血干细胞移植后第+1 天和第+4 天预防性使用巴利昔单抗可降低达到完全缓解的 AML 患者 II-IV 度 aGVHD 的发生率第一作者:魏志杰通讯作者:陆佩华
背 景
单倍体造血干细胞移植(haplo-HCT)在高危急性髓系白血病(AML)的治疗中应用广泛。急性移植物抗宿主病(aGVHD)是移植后早期死亡的主要原因。巴利昔单抗(Basiliximab)是一种嵌合单克隆抗体,通过靶向白细胞介素-2 受体(IL-2RA)的α链(CD25),阻断 IL-2 的结合,抑制 T 细胞活化。尽管巴利昔单抗在激素难治性 aGVHD 的治疗中应用广泛,但其在移植后的预防性使用,尤其在不同 AML 亚型中的应用,鲜有报道。
方 法
本研究纳入了 2016 年 3 月至 2023 年 12 月在北京陆道培医院和河北燕达陆道培医院接受首次 haplo-HCT 治疗的 AML 患者。患者移植预处理方案为:以改良的白消安/氟达拉滨(BU/FLU)或白消安/环磷酰胺(BU/CY)+美法仑为基础的清髓方案;aGVHD 的预防方案为环孢素(CSA)+吗替麦考酚酯(MMF)+短程甲氨蝶呤(sMTX)。试验组患者在移植后第+1 天和第+4 天额外接受了 20 mg/d 的巴利昔单抗,对照组未接受巴利昔单抗。随访截止日期为 2024 年 6 月 1 日。
结 果
本研究共纳入 125 例患者,其中试验组 99 例,对照组 26 例。试验组患者的中位年龄为 12 岁(范围 1-68 岁),其中 57 例(57.6%)为首次完全缓解(CR1),14 例(14.1%)为第二次或以上完全缓解(≥ CR2),28 例(28.3%)为非缓解或部分缓解(NR/PR)。AML 亚型包括 M1(5 例,5.1%)、M2(33 例,33.3%)、M4(21 例,21.2%)、M5(28 例,28.3%)和 M7(12 例,12.1%)。中性粒细胞植入率为 97.98%(97/99),中位植入时间为 14 天(范围 9-33 天)。血小板植入的中位时间为 11 天(范围 6-173 天)。
对照组患者的中位年龄为 33 岁(范围 3-54 岁),9 例(34.6%)为 CR1,2 例(7.7%)为 ≥ CR2,15 例(57.7%)为 NR/PR。AML 亚型包括 M1(0 例)、M2(15 例,57.7%)、M4(5 例,19.2%)、M5(5 例,19.2%)和 M7(1 例,3.9%)。中性粒细胞植入率为 88.46%(23/26),中位植入时间为 13 天(范围 8-25 天),血小板植入的中位时间为 12 天(范围 10-86 天)。
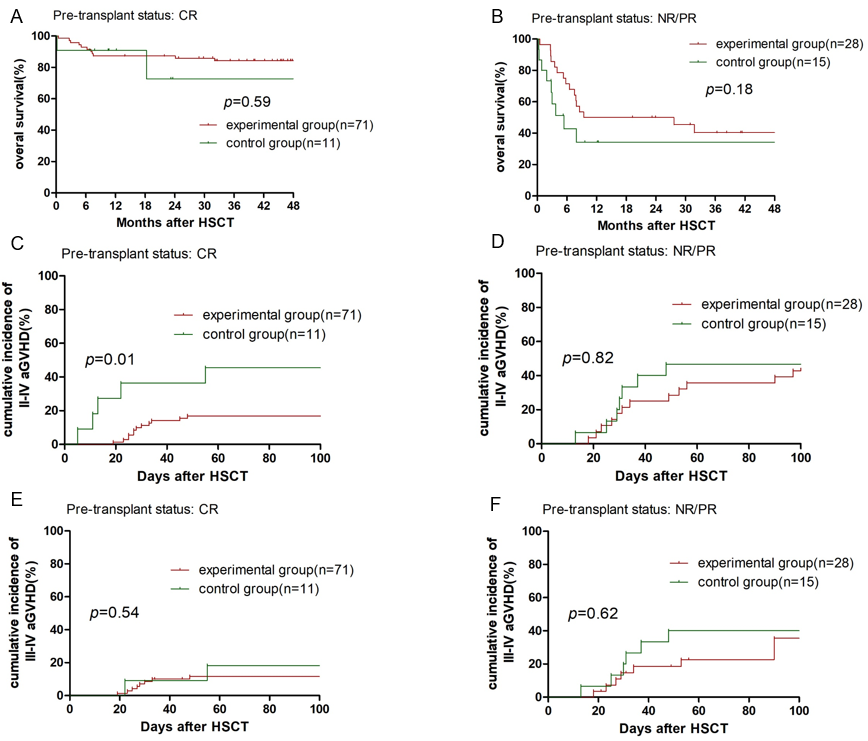
中位随访时间为 32.6 个月(范围 0.2-92.8 个月)。CR 患者的 3 年总生存率(OS)在试验组和对照组之间无显著差异(84.3% vs. 72.7%, P = 0.59);NR/PR 患者的 3 年 OS 分别为 40.4% vs. 34.4%(P = 0.18)。100 天 CMV 病毒血症的发生率为 45.5% vs. 31.1%(P = 0.09),100 天 EBV 病毒血症的发生率为 8.1% vs. 11.5%(P = 0.79)。两组的累积复发率分别为 9.1% vs. 8.1%(P = 0.97)(如图 1)。

图 1. 试验组和对照组的 OS 及 100 天 aGVHD 发生率对比
在移植前达到 CR 的患者中,试验组的 100 天 II-IV 级 aGVHD 发生率显著低于对照组(16.9% vs. 45.5%,P = 0.01)。然而,III-IV 级 aGVHD 的发生率无显著差异(11.5% vs. 18.2%,P = 0.54)。在 NR/PR 患者中,II-IV 级 aGVHD(46.4% vs. 46.7%,P = 0.82)和 III-IV 级 aGVHD(35.5% vs. 40%,P = 0.62)的发生率在两组之间无显著差异。
在试验组中,AML 亚型对 100 天 II-IV 级 aGVHD 的发生率有显著影响(M1、M2、M4、M5 和 M7),但 III-IV 级 aGVHD 的发生率在不同亚型之间无统计学差异(见表 1)。
表 1. 试验组中不同 AML 亚型患者的 100 天 aGVHD 发生率

结 论
在 haplo-HCT 后第+1 天和第+4 天预防性使用巴利昔单抗安全性良好,可显著降低 CR-AML 患者 II-IV 级 aGVHD 的发生率,而不会影响长期预后。其疗效在不同 AML 亚型间存在差异,其中 M1 和 M4 亚型患者获益最显著,而 M7 亚型的疗效最差。这些结果表明,巴利昔单抗的预防策略应根据患者的 AML 亚型和移植前状态进行个体化调整。

魏志杰 主任
陆道培医院造血干细胞移植科
陆道培医院造血干细胞移植科
七病区主任、副主任医师中国抗癌协会廊坊分会会员河北省肿瘤防治联合会造血干细胞移植专业委员会委员移植工作 16 年,已完成 1000 余例移植,最小移植患者年龄 9 月龄、最大年龄 70 岁
(来源:《肿瘤瞭望–血液时讯》编辑部)
好文章,需要你的鼓励