日前,国际知名血液学杂志《American journal of hematology》《Hematologichal Oncology》分别发表了青岛大学附属医院薛宏伟教授团队联合国内多家中心在初治血管免疫母细胞性 T 细胞淋巴瘤(AITL)和复发/难治性弥漫大 B 细胞淋巴瘤 (DLBCL) 中的两项临床试验研究结果,以中国原研口服选择性 HDACi 西达本胺为基础的全口服方案再次大放光彩。
青岛大学附属医院血液科淋巴瘤亚专科分为放疗组、干细胞移植组、免疫治疗组等,形成了科室内部的淋巴瘤 MDT,致力于将部分淋巴瘤的治疗从目前的强化疗模式转变为去除部分化疗、最终全口服的近似 chemofree 模式,形成综合治疗策略。
经过不断的摸索,薛教授团队初步形成初治 AITL 和复发/难治 DLBCL 患者可选择的经济有效的全口服弱化疗方案。
为此 CCMTV 临床频道·血液科特邀薛宏伟教授为我们解读这两项临床试验结果。
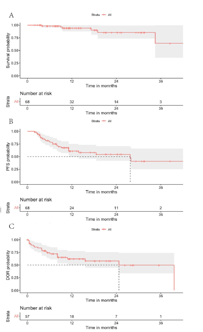
此项多中心研究设计的初衷是为初治 AITL 患者寻找一种安全、高效、方便、经济的治疗方案,最终 68 例初治 AITL 患者参与了疗效和安全性评估,其中 66 例患者接受了至少 4 个周期 CPET(西达本胺、强的松、口服依托泊苷、沙利度胺)全口服方案治疗,四周期后的 ORR 率为 83.8%,CR 率为 23.5%;51 例患者完成 8 个周期 CPET 治疗,ORR 为 90.2%,CR 率为 54.9%。
所有患者的中位 PFS 为 27.7 个月(95% CI,13.2~42.3),中位 OS 未达到;对于完成 8 个周期 CPET 治疗的患者(n = 51),从目前的随访结果预估中位 PFS 为 42.6 个月 (95% CI,27.7–未达到),预估 2 年 PFS 率和 OS 率分别为 66.5% 和 82.2%。
治疗期间未观察到治疗相关的死亡,且部分患者通过药物减量能够顺利完成治疗,大大减少了出组的发生。
结合既往青岛大学附属医院单中心应用经验来看,患者在完成 6-8 周期 CPET 治疗后序贯西达本胺维持治疗,其 CR 率及无进展生存率更优。


此项西达本胺联合方案的单臂、多中心、前瞻性研究是目前国内针对初治 AITL 患者进行的最大规模的临床研究,整体安全有效,特别是完成 8 个周期 CPET 方案治疗的患者,ORR 率为 90.2% ,CR 率为 54.9%,中位 PFS 为 42.6 个月,疗效令人满意。
安全性方面,由于西达本胺、泼尼松、依托泊苷和沙利度胺之间的代谢特征不同,重叠毒性轻微,所有 AE 均自行缓解或经对症治疗后缓解,患者耐受性良好、依从性高,易于治疗疗效及毒性管理。方案中所有药物均为口服,门诊即可完成随访,在方便患者治疗的同时大大降低了患者的经济负担。
尽管 R-CHOP 方案的出现将 DLBCL 患者的 5 年 DFS 提升到 60% 左右,但仍有 1/3 的患者进展为复发/难治性,尤其是年龄>65 岁、无法耐受化疗或对一线治疗耐药的患者,迫切需要新的治疗方案。
此项单中心、回顾性队列研究中,共有 34 名 R/R DLBCL 患者接受 CPEL+/-R 方案(西达本胺、强的松、口服依托泊苷、来那度胺±利妥昔单抗)至少 1 个周期治疗。中期客观缓解率为 73.5% (32.4% 完全缓解),最终客观缓解率为 50.0% (35.3% 完全缓解)。
中位随访 13.1 个月后,中位无进展生存期 (PFS) 为 10.5 个月 (95%CI 为 6.4-14.6),中位总生存期 (OS) 为 19.3 个月 (95%CI 为 11.8-26.9)。后续在 CPEL±R 方案基础上联合 BR 方案,患者中位 PFS 达到 21.3 个月,中位 OS 尚未达到。

此项单中心、回顾性队列研究中,61.8% 的患者是老年人 (≥ 65 岁), 82.4% 的患者为难治性 DLBCL,73.5% 属于 IPI 高危人群。
这些不适于强化疗或对一线治疗耐药的 R/R DLBCL 患者, 通过口服治疗方案 CPEL±R 可获得媲美 DLBCL 二线化疗的疾病缓解率及更优的无进展生存率,这表明 CPEL±R 方案是一种有效、安全的治疗选择。
研究中有 2 例患者完全缓解后再度进展,在接受 CAR-T 治疗后再次实现 CR,这启示我们:西达本胺联合治疗方案或可作为体弱患者接受 CAR-T 细胞治疗的桥梁,为更多的 R/R DLBCL 患者的后续治疗提供机会。
西达本胺作为我国自主原研的口服选择性组蛋白去乙酰化酶抑制剂 (HDACi),可诱导血液和淋巴源性肿瘤细胞的生长停滞及凋亡,近年来,不断在国际舞台发出中国科研工作者探索血液肿瘤治疗的中国之声。
西达本胺在与多种血液肿瘤治疗药物联合应用时,显示出广泛的协同增敏作用及克服肿瘤耐药的特性。国内已有多项西达本胺协同增敏化疗方案治疗血液肿瘤的探索;而此次两项全口服方案的结果提示,对于不适合强化疗的非霍奇金淋巴瘤患者,西达本胺联合方案是有效、安全的选择。无论是初治 AITL 患者,还是复发/难治性 DLBCL 患者,均在以西达本胺为基础的联合方案下获益。
希望未来有更多安全有效经济的 HDACi 联合用药方案,为血液肿瘤患者提供更优的治疗选择。
好文章,需要你的鼓励