近日,东南大学附属中大医院重症医学科谢剑锋教授团队在柳叶刀子刊 eClinicalMedicine 发表了题为「Treatment effects of Xuebijing injection in patients with sepsis by clinical phenotype: a post hoc analysis of the EXIT-SEP trial」的研究论文。该研究首次在中国人群中复现了四种脓毒症表型(α、β、γ和δ),结果显示,血必净注射液与γ型(呼吸功能障碍)和δ型(酸中毒和多脏衰)患者的较低 28 天病死率相关,未来将在随机对照试验中进一步探索。该研究实现了血必净基于临床表型的精准治疗,推动个性化干预迈向新阶段。东南大学附属中大医院重症医学科谢剑锋教授和刘松桥教授为通讯作者,娄熙冉博士生和陈辉教授为第一作者。

谢剑锋教授介绍,脓毒症是宿主对感染的反应失调而导致危及生命的器官功能障碍的临床综合征,全球发生率高达 5000 万例/年,与之相关的病死率约为 20%。团队前期在中国 45 家 ICU 进行的随机对照临床研究 EXIT-SEP 试验表明,早期脓毒症患者血必净治疗使得脓毒症患者 28 天死亡风险下降接近 30%,成为全球首个被证实可以降低脓毒症病死率的药物。然而,脓毒症具有高度异质性,个体治疗反应差异大,目前尚不清楚哪些患者从血必净注射液中获益最大。
基于脓毒症患者临床表型的分析为探索治疗效果异质性(HTE)提供了新思路。多个临床队列研究发现脓毒症患者经典临床表型(α、β、γ和δ),并且不同表型在临床结局和治疗反应上存在显著差异。然而,这些表型是否适用于中国人群尚不明确。我们对 EXIT-SEP 试验进行进一步分析,旨在确认哪些患者最可能从血必净注射液治疗中受益,并开发了简化的预测模型,以便在临床中快速识别不同表型脓毒症患者。

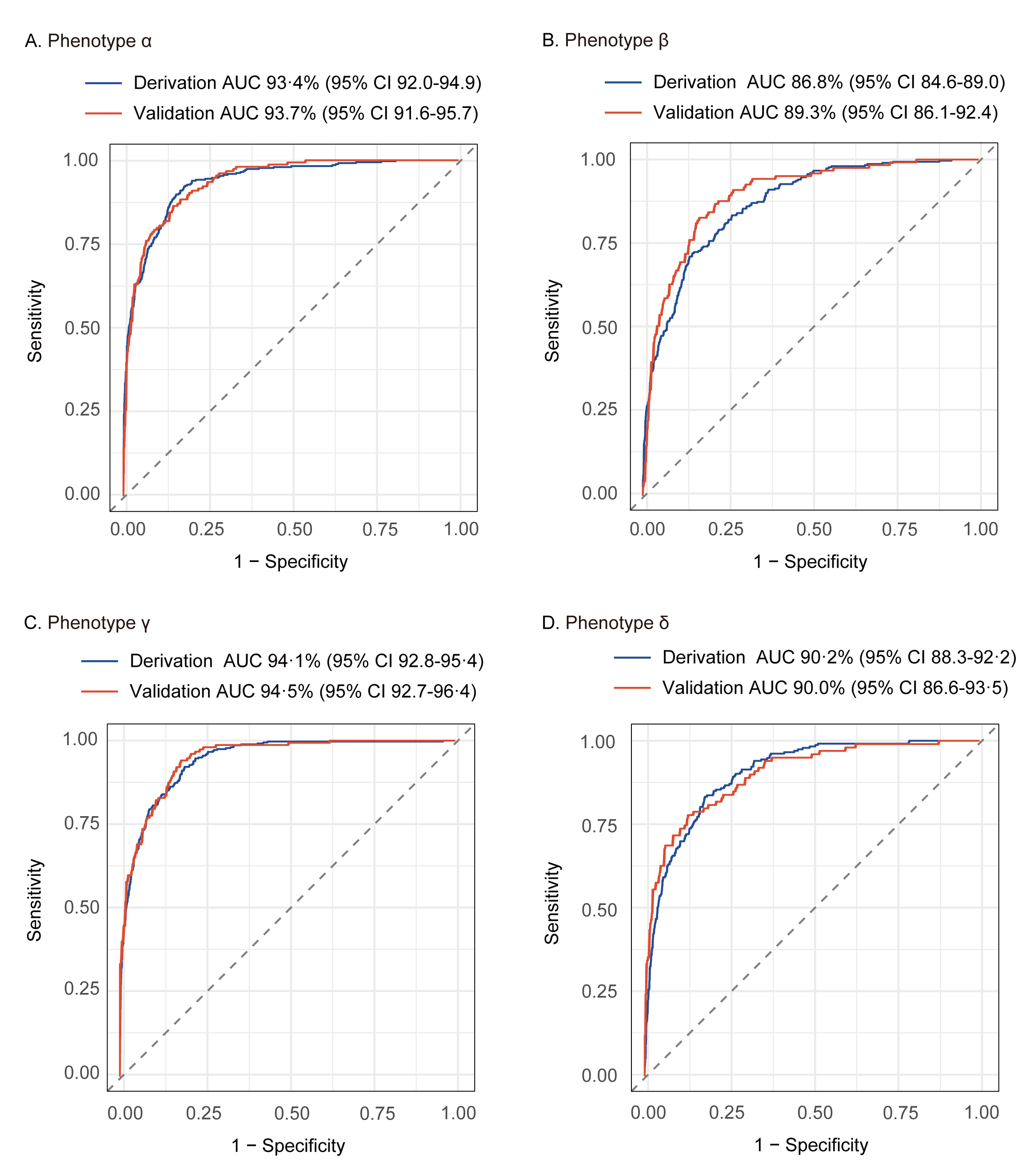
该研究事后分析纳入 1760 名脓毒症患者。基于 19 个变量(如年龄、性别、体温和实验室检查结果),采用 k 均值聚类方法复现了四种脓毒症表型(α、β、γ和δ)。其中,497 例患者为表型α(28.2%),422 例为表型β(24.0%),509 例为表型γ(28.9%),332 例为表型δ(18.9%)。表型α:年轻患者,实验室值较少异常;表型β:老年患者,伴有较多慢性疾病和肾功能不全;表型γ:主要表现为呼吸功能障碍;表型δ:病情最重,ALT 和乳酸水平最高,凝血功能障碍和休克比例最高。

研究结果显示,四种表型的 28 天病死率存在显著不同:表型δ为 32.5%,表型γ为 22.4%,表型β为 26.8%,表型α为 12.1%。与安慰剂相比,血必净注射液治疗与表型γ(风险差: 11.5%, 95% CI: 4.0-19.0, p = 0.003)和δ(风险差: 11.6%, 95% CI: 0.8-22.4, p = 0.033)患者的较低 28 天病死率相关。此外,表型δ患者接受血必净注射液治疗后比表型α患者无机械通气天数和无 ICU 天数更多,且存在交互作用 p<0.001。

最终,研究团队开发了一个简化的表型预测模型,便于未来及时准确的临床应用。
该研究实现了脓毒症治疗领域的突破性进展。通过系统分析临床表型,首次精准揭示了血必净注射液在不同脓毒症亚型患者中的差异化治疗获益。为建立基于表型的脓毒症精准用药方案提供了关键循证依据,显著推动了脓毒症诊疗迈向个体化、精准化的治疗策略。(通讯员娄熙冉 编辑程倩敏)
好文章,需要你的鼓励